现在位置:范文先生网>教学论文>数学论文>高中数学教学方法论文 普通高中数学教学方法探讨

高中数学教学方法论文 普通高中数学教学方法探讨

时间:2022-12-16 23:16:32 数学论文 我要投稿
  • 相关推荐

高中数学教学方法论文 普通高中数学教学方法探讨

  高中数学教学方法论文 普通高中数学教学方法探讨
  
  作者/ 于志彦
  
  摘 要:三类普通高中的学生对于高中数学的学习感觉有些困难,教师应从学生自身、教材、家庭、社会几个方面分析造成数学学习困难的原因,探讨适合他们的教学方法,培养学生的创新精神和实践能力,从而提高学生的成绩。
  
  关键词:普通高中;数学教学;教学方法
  
  《高中数学课程标准》规定:学生在九年义务教育数学课程的基础上,进一步提高作为未来公民所必要的数学素养,以满足个人发展与社会进步的需要。全面推进素质教育,就要坚持面向全体学生,为学生的全面发展创造相应的条件,依法保障适龄儿童和青少年学习的基本权利,尊重学生身心发展特点和教育规律,使学生主动活泼、积极主动地得到发展。
  
  我们学校处于城乡结合部,属于三类普通高中,数学学习困难的状况普遍存在,究其原因,主要如下:
  
  (1)生源质量差。我们学校属于第三批次录取,大部分招录的是过最低省控线515分的学生,还有部分学生没过最低省控线,把学籍建在民办高中到我校借读,所以他们基础不好。造成这些情况的原因是学生学习习惯不好,学习态度不端正,数学的思维品质差,胸无大志,得过且过。
  
  (2)政府投入少。 由于政府投入少,我校校舍陈旧,无配套的硬件设施,甚至于教室中的多媒体也成了摆设,无配套的教具。
  
  (3)高中数学本身的难度。初中数学形象思维性强,语言通俗易懂,做题模式固定,单一; 高中数学内容多,且比较抽象,逻辑思维性强,对学生学习能力、理解能力要求高,所以很多同学在刚开始学习集合和函数时,就被抽象的数学语言击倒;平时对所学知识理解不透,日复一日,对数学产生了厌烦心理,就知难而退了。
  
  (4)家长不重视。许多家长心中都明镜似的,孩子好学校去不了,所以选择了我们学校,因此孩子在学校里的成绩如何他们不关心,他们关心的只是孩子在学校不惹事就行。
  
  基于以上情况,如何让学生喜欢数学,提升他们数学学习的能力,探索出适合本校学生的教学方法呢?
  
  一、做好初高中教材的衔接
  
  初中数学中的学生不要求掌握的部分,如十字相乘法因式分解在高中解方程中常用;根与系数的关系在解析几何中应用频繁;初中二次函数的学习仅限于会画图像,高中时它作为一种解题的工具,承载着其他的函数,很多复杂函数的研究一般是在换元后转换为二次函数解决……所以,在学集合之前要先进行初中知识的复习与延伸,为高中数学学习做好准备。
  
  二、培养学生学习数学的兴趣
  
  无论做什么事,能否成功的关键是兴趣。古代著名的教育家孔子就说过:“知之者不如好之者,好之者不如乐之者。”这里的“好”与“乐”就是愿意学、喜欢学,就是学习兴趣。兴趣是最好的老师,有了兴趣,学习的主动性和积极性就高。我们经常看到一些同学为了解答一道数学习题而废寝忘食,这是因为他们对数学学习和研究感兴趣。很难想象,对数学毫无兴趣,见了数学题就头痛的人能够学好数学。学好数学关键的就是培养学习数学的兴趣。
  
  首先,让学生感到数学有用。我们经常听到学生说:“平时买个菜还需要函数图像吗?学数学真没劲儿!”所以,他们对数学不重视。针对这种论调,在平时的教学中我们要注重理论知识与实际的结合,让学生感到生活中处处有数学。如以怎样刻画笔记本电脑的张开程度引入新课《二面角》。再如建筑工人在砌墙时,常用一端系有铁锤的线来检查所砌的墙是否与水平面垂直,就是依据面面垂直的判定定理。
  
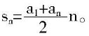
  其次,采用“问题导引式”的教学方法。数学知识抽象、严谨,涉及的知识点多,一堂课只是老师喋喋不休地讲,学生会感到无味、走神。针对这种情况,我们可以把一堂课的新知设计成几个问题,让学生在解答问题的过程中,不知不觉地学会了本节的内容。如在讲等差数列前项和时,我设置了以下问题:
  
  问题一:大家还记得德国伟大数学家高斯神速求和的故事吗?小高斯上四年级时,一次老师布置了一道数学题:“把从1到100的自然数加起来,和是多少?”小高斯不假思索就说是5 050,那么高斯用什么方法这么神速的得到答案呢?
  
  问题二:设等差数列{an}首项为a1,公差为d,求sn=a1+a2
  
  +……+an,你能用高斯的方法吗?学生讨论后意识到:利用高斯的求法,还要分“奇偶个数”的情况求和。
  
  问题三:同学们有更简单的方法避免“奇偶项数”的讨论吗?教师作适当启发,展示两个等腰梯形倒置,补成一个平行四边形,利用倒序相加法得到公式
高中数学教学方法论文 普通高中数学教学方法探讨  
  问题四:公式能否用基本量a1和d表示?
  
  问题五:等差数列前n项和公式中涉及几个量?这几个量有什么关系?已知几个量可以求其余量。
  
  问题六:前n项和公式和你学习的那个函数有联系吗?
  
  用几个问题把一节课展示给学生,既给学生指明了思考的方向,又激起了他们解决问题的兴致,达到了好的教学效果。
  
  三、注重课堂教学的有效性
  
  针对班级学生数学思维品质差、上数学课注意力不集中、态度消极、课后复习巩固敷衍应付的状况,我们在课堂上不摆花架子,要多以基础知识的讲解为主,内容不求多、不求快,只求学生懂;并且不注重一题多法,只要把好理解、计算量小的方法教给学生即可。要让学生模仿做题,当堂巩固,课后复习,一类题经过几天的反复练习,学生基本能掌握。如讲直线与圆的位置关系时,一课时的内容分两课时进行。又如求直线截圆所得的弦长时,有代数法与几何法两种方法,重点教给学生几何法:弦心距,半径、与半弦长所构成的直角三角形求解。另外注重公式、定理的记忆和检查。要想数学学得好,必须公式定理熟练理解、掌握、会背诵,每节课的公式要求每个同学都要过关,且当天消化,这样学生才能举一反三,融会贯通,会利用所学解决问题。
  
  总之,面对学习有困难的学生,要注重基础知识与基本技能的教学,并要砸实砸牢,切不可操之过急,拔苗助长,只有这样,学生才会做题,才会体会到成功的快乐,才会对数学有兴趣,才会去学数学。
  
  (江苏省徐州市九里中学)

【高中数学教学方法论文 普通高中数学教学方法探讨】相关文章:

高中数学教学方法探索08-18

浅谈高中数学教学方法08-20

课堂教学方法之探讨08-05

高中化学教学方法的探讨08-24

高中物理教学方法的探讨08-24

高中数学二次函数教学方法探究08-04

高中数学课前预习探讨论文08-15

初中数学课堂教学方法探讨08-18

初中作文创新教学方法研究与探讨08-24