- 相关推荐
如何在教学中提高学生数学思维能力
如何在教学中提高学生数学思维能力作者/ 程春 李继权
摘 要:所谓的数学思维能力就是指能够用数学的观点去思考问题。也就是说,作为数学教师,不仅要让学生掌握基本的数学知识,而且还要培养学生的数学思维能力,它是学习能力的核心。所以,就从逻辑思维能力、创新思维能力、发散性思维能力的培养三个方面进行简单介绍,以促使学生获得较为全面的发展。
关键词:高中数学;思维能力;逻辑性;创新性;发散性
高中数学课程应注重提高学生的数学思维能力,这是数学教育的基本目标之一。然而受应试教育的影响,我们的数学教学过于看重学生知识点的掌握情况和学生的数学成绩,却忽视了学生数学价值观的发挥和数学思维能力的培养。因此,在新课程改革的推动下,教师要根据教材内容的需要,采用多样化的教学模式,充分发挥学生的主观能动性,促使学生的数学思维能力得到大幅度提高。
一、渗透分类思想,提高逻辑思维能力
数学中的分类思想是根据数学对象本质属性的异同把数学对象分为不同种类的思想。它有助于提高学生思维的条理性,使学生在不重复、不遗漏的分类思考中逐步提高学生的逻辑思维能力,从而大幅度提高学生的数学思维能力。
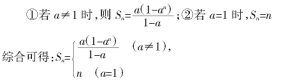
以数列求和Sn=a+a2+…+an为例进行简单介绍。
解:当a=0时,Sn=0;当a≠0时,此题为等比数列求和。

由于等比数列本身就有一定的限制条件,即等比数列中公比q≠0之后,考虑的是等比数列求和公式的应用条件,即公比q≠1。所以,在解答这道试题的时候,学生的思维一定要严谨,这样学生思维能力的逻辑性才会随之得到锻炼和提高。
二、创设问题情境,培养创新思维能力
问题是创新的前提,是学生探究数学活动的基础。然而,在以往教学过程中,我们过于注重数学知识技巧的掌握,被动式的教学方法使得学生缺少一定的问题意识,所以,在新课程改革的影响下,教师要创设有效的问题情境,让学生在思考问题、解决问题的过程中逐步培养创新思维,以促使学生获得更大空间的发展。
例如,在教学《直线与平面平行的判定和性质》时,为了提高学生的探究能力,培养学生的创新思维能力,在本节课的授课过程中我采用了讨论法,让学生思考了以下几个问题:(1)如何画出表示直线和平面的三种位置关系的图形?(2)如何证明如果平面外一条直线和这个平面内的一条直线平行,那么这条直线和这个平面平
行?(3)在什么条件下一条直线和一个平面平行?引导学生思考,并结合教材内容进行证明。需要注意的是,在这个过程中,教师要让学生进行独立思考,独立解决有关的问题,这样将会大幅度提高学生的创新思维,以提高学生的数学思维能力。
三、鼓励一题多解,培养发散性思维能力
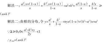
所谓的一题多解是指针对同一道题有不同的解题方法,它有利于锻炼学生思维的灵活性,活跃思路,让学生能根据题目给出的已知条件,并结合自身情况,灵活地选择解题切入点,进而培养学生的发散性思维能力。下面以一个例题为例进行简单介绍。

……
该题是一道基础性试题,但不是学生给出答案就可以结束了,教师要鼓励学生从多角度思考问题,从多方面切入,发散学生的思维,丰富学生的解题方法,以不断提高学生的解题能力。
总之,在新课程理念的指导下,教师要结合教材,从学生的已有经验出发,采用多样化的教学模式,调动学生的学习积极性,使学生在成为课堂主体的过程中,数学思维能力也得到大幅度提高。
参考文献:
王文明。如何在高中数学教学中培养学生的数学思维能力[J]。学周刊,2012(05)。
(作者单位 程春:重庆市潼南县塘坝中学 李继权:重庆市潼南中学)
【如何在教学中提高学生数学思维能力】相关文章:
小学数学教学中如何培养学生的思维能力10-26
在课堂教学中如何培养学生的高阶思维能力10-24
浅谈英语教学中如何提高学生的阅读能力08-24
如何提高学生学习数学兴趣03-21
如何提高学生学习数学的兴趣10-12
如何培养学生的思维能力11-17
如何提高初中数学教学质量10-26
教学活动中如何让学生“乐说”数学??08-22
如何提高学生学习数学的积极性08-24
如何提高学生习作水平教学反思08-23