- 相关推荐
从一道数学题目看“转化思想”
从一道数学题目看“转化思想”

刘 伟
(浙江省杭州外国语学校)
我们在解决数学问题时,常常把有待解决或难以解决的问题,通过某种转化手段,使它转化成已经解决或比较容易解决的问题,从而求得原问题的解答,这里运用的就是转化思想。教育家维果茨基认为,学生发展具有两种水平:一是已经达到的发展水平,二是可能达到的发展水平。从某种程度上来说,转化思想就是从“已达到的发展水平”,上升到“可达到的发展水平”,使学生在原有的基础上,提高分析和解决问题的能力。
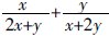
题目:设x,y是正实数,求代数式的

最大值。
此题属于基本不等式范畴,但形式上看又有差距,需要进行一定的转化变形,将未知转化为已知是解决此题的关键。
一、利用整体思想转化为基本不等式
二、通过分离常数转化为基本不等式
三、通过换元转化为函数的最值
此问题中有两个未知数,而且两未知数不存在等量关系,不能通过常规的“代入法”达到消元的目的。仔细观察代数式,我们注意到两个分式的分子、分母都是x,y一次关系式,利用分式的基本性质,将分子、分母同时除以x(或y),则可化为关于x/y的函数。
由已知条件x,y是正实数,分子、分母同除以x得:
四、回顾反思
布卢姆在《教育目标分类学》明确指出:数学转化思想是“把问题元素从一种形式向另一种形式转化的能力”。如果学生在掌握双基的同时,接受了数学思想,学会了数学方法,就能激发学习数学兴趣,提高分析问题和解决问题的能力,并为以后的数学学习打下坚实的基础。本例是从联想的角度,借助整体思想、换元等技巧实现转化。在面对一个陌生的问题时,学生往往不能马上找到解决之法,而是在直觉选择的基础上,通过联想、化归与构建的过程来确定解题的识别点。“遇新思陈、推陈出新、举一反三”就是要在当前问题与头脑中已有经验之间建立联系。无论在什么情况下都应该清醒地看到,所积累的知识和经验都是解决问题的根本,善于转化,很多问题都是可以迎刃而解的。
【从一道数学题目看“转化思想”】相关文章:
浅谈初中数学中数形思想转化08-09
数学教案-因式分解中转化思想的应用08-16
微软公司的一道经典招聘题目08-17
作文构思训练要培养转化思想08-17
如何转化数学差生08-08
浅谈数学学困生的转化08-17
如何转化数学学困生08-18
一道有趣的数学作文02-02
因式分解中转化思想的应用 —— 初中数学第一册教案08-16
对一道数学题的思考08-08