- 相关推荐
物理图线面积在解题中的应用
物理图线面积在解题中的应用

江西省铅山县第一中学 杨定国
在物理图象相关问题中,往往涉及图象的点、线、面、斜率、截距等问题,其中大部分图象面积都有其特有的物理意义,如v-t中面积为位移(但在中学里面,大多数研究是在一条直线上运动的情况),F-x为该力所做功,F-t为该力冲量,E-x为电势差,I-t图象为电量。值得注意的是,有些为标量,有些为矢量。
一、利用a-t图象求解瞬时速度
vt=v0+at适用于匀变速直线运动速度的计算,而非匀变速此公式不适用,但如果已知a-t图象利用a-t面积为Δv,若初速已知,则Δv=vt-v0,就可以求出对应时刻的速度。
例 摩天大楼中一部直通高层的客运电梯,行程超过百米,电梯的简化模型如图1所示。考虑安全、舒适、省时等因素,电梯的加速度a是随时间t变化的。已知电梯在t=0时由静止开始上升,a-t图像如图2所示。电梯总质量m=2.0×103kg。忽略一切阻力,重力加速度g取10m/s2。
(1)类比是一种常用的研究方法。对于直线运动,教科书中讲解了由v-t图像求位移的方法。请你借鉴此方法,对比加速度和速度的定义,根据图2所示a-t图像,求电梯在第s内的速度改变量Δv1和2s末的速率v2。
(2)求电梯以最大速率上升时,拉力做功的功率P;再求在0~11s时间内,拉力和重力对电梯所做的总功W。
解析:(1)类比可得,所求速度变化量等于第1s内a-t图线下的面积Δv1=0.50m/s
同理可得Δv2=v2-v0=1.5m/s
v0=0,第2s末的速率v2=1.5m/s
(3) 由a-t图像可知,11s~30s内速率最大,其值等于0~11s内a-t图线下的面积,有vm=10m/s
此时电梯做匀速运动,拉力F等于重力mg,所求功率
P=Fvm=mg·vm=2.0×103×10×10W=2.0×105W
由动能定理可得拉力和重力对电梯所做的总功
W=Ek2-Ek1=1/2mvm2-0=1/2×2.0×103×102J=1.0×105J
二、利用E-x图象求非匀场电场两点间的电势差
在给定了电场的E-x图象后,可以由图线确定场强的变化情况,电势的变化情况,图中E-x图线与x轴所围图形“面积”表示电势差。在与粒子运动相结合的题目中,可进一步确定粒子的电性、动能变化、电势能变化等情况。
例 空间有一沿x轴对称分布的电场,其电场强度E随x变化的图象如图所示,下列说法正确的是( )
A.O点的电势最低
B.x1和x2两点的电势相等
C.x1和-x2两点的电势相等
D.x2的电势最高
解析:选C 在坐标原点O右侧,沿x轴正方向,电场强度先变大后变小,电势一直降低,故O点电势不是最低,A错误;x1和x3两点间E—x围成的面积大于0,所以x1和x3两点的电势不相等,B错误;电场关于坐标原点O对称分布,E—x围成的面积代数和等于0,则x2和-x2两点的电势相等,C正确。
三、利用v-t图象分析追赶相遇问题
两物体图线所围的面积是两物体这段时间内通过的位移差值。分析追及问题通常采用如下方法。通过对物体运动过程的分析,画出物体的运动示意图,列出两物体位移方程,找出两物体位移间的关系。追及问题的主要条件是两个物体在追上时位置坐标相同,速度小的物体加速追赶速度大的物体,在两物体速度相等时两者间有最大距离;速度大的物体减速追赶速度小的物体,在两物体速度相等时两者间有最小距离;这种情况下如果后一物体要避免与前一物体相碰则要求在速度相等时后一物体没碰上前一物体。
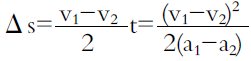
例 摩托车以速度v1沿平直公路行驶,驾驶员突然发现正前方离摩托车s处有一辆汽车正以v2的速度开始减速,且v2<v1,汽车的加速度大小为a2。为了避免发生碰撞,摩托车也同时减速,求其加速度a1至少需要多大?
解:在摩托车与汽车的速度达到相等前,两者的距离越来越小,如果能保证在两者速度相等时不发生碰撞,则两车就不会碰撞。
设经过时间t1两车速度相等,v1-a1t=v2-a2t,得,
,其v-t运动图象如图所示。由图象得到,两个图象所夹的面积(图中阴影)即为。
Δs<s就可满足避免相撞。
本结果需要讨论,设摩托车从开始减速到摩托车与汽车速度相同所需时间为t,汽车从开始减速到停止所需时间为
(1) 摩托车与汽车不相碰时,汽车还未停止的条件是:
四、 利用v-t图象比较运动物体运动时间或求解运动时间
例 物体以速度v0竖直上抛,落回抛出点时速度大小为vt。如果空气阻力的大小物物体速度的大小成正比,试求物体的运动时间。
解:取物体为研究对象。物体上升阶段受到重力mg和空气阻力f,方向都竖直向下,且f不断减小,所以物体做加速度减小的减速运动;下降阶段受到竖直向下的重力mg和竖直向上的空气阻力f′,且f′不断增大,所以物体做加速度减小的加速运动。显然无法用动力学观点求解。如果用动量定理求解,问题的突破点就在于如何求出上升与下降全过程中空气阻力的合冲量。
作出物体上升、下降的v-t图象,如图(a)所示。由于上升和下降的位移大小相等,两个阴影的面积相等,又因为空气阻力f的大小和速度v的大小成正比,所以f-t图象与v-t图象相似,如图(b)所示。显然两个阴影面积也相等,物体上升阶段和下降阶段空气阻力的冲量大小相等,方向相反,全过程中空气阻力的合冲量为零。
规定竖直向下为正方向,由动量定理得mgt=mvt-(-mv0)。
由此得,物体上升、下降的总时间为t=
。
【物理图线面积在解题中的应用】相关文章:
方程组在解计算题中的应用08-17
解直角三形应用举例08-17
列方程解应用题08-17
怎样找物理题中的隐含条件08-17
滑轮转轴在解决滑轮问题中的应用08-17
比法在物理中的应用08-17
复习列方程解应用题08-16
用不同知识解应用题08-16
列方程解应用题(一)08-16
列方程解应用题(一)08-16